Formula general para ecuaciones cuadráticas
Expresión
Las ecuaciones de segundo grado o ecuaciones cuadráticas de una variable son aquellas que tienen la siguiente expresión:ax2+bx+c=0 ,a≠0
Los términos se denominan de la siguiente manera:- ax2
- Se llama coeficiente cuadrático diferente de cero.
- bx
- Se llama coeficiente lineal
- c
- Término independiente.
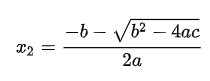
Formula

El símbolo ∓ se utiliza para indicar que hay 2 soluciones:

